




由於聯外的不方便,在日據明治33年,由當時的宜蘭廳長西鄉菊次郎,召集被日本人擄獲的反日份子,在極端困難當中,打通了北宜公路。…西鄉廳長在開築北宜公路之後,所立的石碑,正面刻著平塹雲開四個大字,背面則有一篇碑文,完整紀錄了開通北宜公路的經過。這一篇文章是以西鄉之名刻成,但是內文則是由前清廩生林拱宸所寫。…但是在前縣長林才添任內,卻以是日本人遺留的石碑為由,在當年的政治環境下,將平塹雲開四字磨去,改今日所見的金面大觀。而在背面的碑文,則是在前縣長陳進東任內,再加以磨掉,換上的是亢懷千(原碑作今)古四字。
http://www.th.gov.tw/files/taiwans44/44_6.pdf
--------------------------------------------------
湖底嶺開路碑
(一) 基本資料
1、 位址:二城里北宜公路縣界公園旁
2、 建築年代:明治31年(1898)10月-明治32年(1899)5月
(二) 歷史沿革及特色
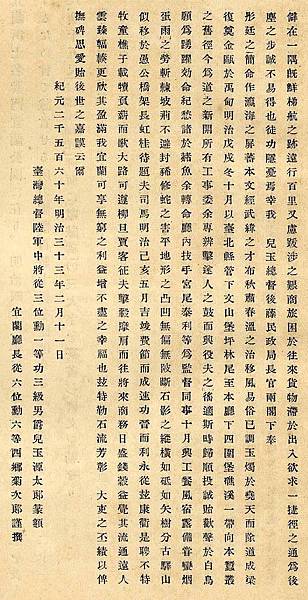
日治初期,日本政府為了聯繫臺北與宜蘭兩地之交通,以及軍事上之需要,特於明治31年(1898)10月,以當時臺北縣下之文山堡坪林尾至宜蘭廳四圍堡礁溪一帶之舊徑為基礎,進行修整拓寬。該工程由宜蘭廳內技手官尾泰利監督,於10月興工、至次年5月竣工 。
為了紀念歷經餐風宿露、蠻煙蜑雨,披荊斬棘以平地凹凸之工程人員,特由當時宜蘭廳長西鄉菊次郎於明治33年(1900)2月11日,於今北宜公路縣界公園亭豎立「湖底嶺開路碑」,以紀念開路功績。太平洋戰爭時,因戰備需要,乃發動臺北州青年特別訓練所學員正修拓寬以作為軍事運輸之用 。
光復後,宜蘭縣第4任縣長林才添先生於石碑背面加題「金面大觀」。第五、六任縣長陳進東先生則磨去石碑正面碑文,改題「亢懷千古」。二者詞意雖佳且反映出該處局面宏開,美不勝收之美景,但破壞碑文實為可惜。
被磨去碑文正、反面已被改為「亢懷千古」及「金面大觀」之「湖底嶺開路碑」現況(蘇美如攝)。
--------------------------------------------
金面大觀
鄉鎮名稱:頭城鎮
景點名稱:金面大觀(即石牌縣界公園)
景點類別:蘭陽百景(自然景觀)
簡述:明治33年(1900年),北宜公路鑿通。在穿越湖底嶺67公里處,宜蘭廳長西鄉菊次郎刻有「湖底嶺開路碑」,而由台灣總督兒玉源太郎題刻篆額『平塹雲開』,記載當時開路的艱辛過程,後人便稱立碑處為「石碑」。
北宜公路盤旋於大、小金面山,至最高點的石牌,彎曲蜿蜒,宜蘭人稱為「九彎十八拐」。登此觀景,在晴空萬里之際,則海洋中龜嶼及蘭陽平原,盡入眼中;若遇雨霧漫天,即令人產生一股屬於蘭陽特有的氤氳與縹緲感受。由於景觀氣勢萬千,1954年,被選定新蘭八景之一,自古以來,是騷人墨客吟詠歌頌的最佳勝景。歷來文人,激賞金面山佳景,不絕於書。
目前,金面大觀已規劃為石牌縣界公園,規劃後的石牌縣界公園有停車場、販賣部、服務中心、瞭望台,綠化步道及資訊站等,自然呈現石牌的優美景觀,並可讓過往行人中途休憩及欣賞自然美景。
地址:宜蘭縣頭城鎮金面路(北宜公路上)。
留言列表