驚悚!台中狠心爸媽浴缸溺死男嬰棄屍古井 一審分判6年5月、11年2月 - 社會 - 自由時報電子報

驚悚!台中狠心爸媽浴缸溺死男嬰棄屍古井 一審分判6年5月、11年2月 - 社會 - 自由時報電子報
高雄剛出生男嬰遭棄河堤亡 28歲生母「不知懷孕也不知誰的種」 - 社會 - 自由時報電子報

高雄剛出生男嬰遭棄河堤亡 28歲生母「不知懷孕也不知誰的種」 - 社會 - 自由時報電子報
易子而食+易女而養 @ 姜朝鳳宗族 :: 痞客邦 :: http://tinyurl.com/yyetytgf
將近40年的一胎化政策,將中國農村大家庭結構徹底破壞,老年寡婦、遭遺棄的女嬰成年後陷入孤獨、貧困的絕境,許多人最終選擇自殺。中國每天有590名婦女自殺,是全球唯一一個婦女自殺人數超過男性的國家,在農村女性自殺人數更是男性的3倍 中國一胎化政策下的婦女悲歌 https://goo.gl/vbrn6F
產後憂鬱 媽媽打死早產嬰被訴
產後憂鬱 媽媽打死早產嬰被訴 - 社會 - 自由時報電子報 https://bit.ly/2WaeUrD
2020-05-07 05:30:00
〔記者余瑞仁/桃園報導〕桃園市吳姓婦人去年五月早產男嬰,因嬰兒有先天性心血管、肺部等疾病需常回診,婦人同時還要照顧兩歲兒子,今年一月間,男嬰哭鬧不停,吳婦情緒失控,涉嫌毆打男嬰頭、腹等處,直到察覺男嬰癱軟無力,送醫不治。醫院發現男嬰全身傷痕累累,通報家暴,桃園地檢署查出男嬰因肋骨斷裂、肝臟出血致死,昨依成年人故意對兒童犯傷害致死罪,將吳婦起訴。
吳婦丈夫表示,小兒子出生後體弱多病,妻子疑有產後憂鬱症,當天可能情緒失控而失手。檢方追查確認,吳婦產後情緒低落,有就診紀錄,加上男嬰早產罹患重症、照顧不易,依此建請法院考量吳婦情狀,量處適當之刑。
起訴指出,吳婦去年五月間早產二十四週大的次子,男嬰被診斷有呼吸道、肺部、心臟與腦部等病變,吳婦丈夫白天忙於工作,吳婦須照顧次子與兩歲長子,疑因產後憂鬱,加上男嬰身體狀況不佳,情緒始終低落。
今年一月十七日,吳婦見次子哭鬧不止,徒手毆打其頭部等處,再以條狀物毆打胸、腹等,發現小孩癱軟無力送醫,急救不治
產後憂鬱 媽媽打死早產嬰被訴 - 社會 - 自由時報電子報 https://bit.ly/2WaeUrD
男嬰出生就死了!她當垃圾丟路旁…生母慘被判刑6月
男嬰出生就死了!她當垃圾丟路旁…生母慘被判刑6月 https://bit.ly/2YrULin
記者陳啓明/台北報導
台北一名拾荒婦人,去年8月8日在台北市立聯合醫院仁愛院區外,發現一具被狠心遺棄的男嬰屍,檢警調查後發現,遺棄嬰屍的是一名酒吧工作的余姓女子,余女向檢警供稱,孩子在住處浴室一生下就死了,是死胎,她當下不知如何處理,所以才會當垃圾丟棄,檢方依遺棄屍體罪將她起訴。台北地院審理後,審酌余女坦承犯行且無前科,依遺棄屍體罪判她6個月徒刑,得易科罰金,緩刑2年,可上訴。
台北,大安,嬰屍,仁愛醫院,酒吧,MayBe,垃圾袋。呂品逸攝© 由 Sanlih E-television Co., LTD 提供 台北,大安,嬰屍,仁愛醫院,酒吧,MayBe,垃圾袋。呂品逸攝
▲法官依遺棄屍體罪判余女6個月徒刑,得易科罰金,緩刑2年。(圖/資料畫面)
判決書指出,去年8月8日清晨6時許,一名拾荒婦人行經仁愛醫院急診室巷弄時,赫然發現一只垃圾袋裝著男嬰屍體,她嚇得趕緊向醫院駐衛警反映,駐衛警確認是嬰屍後報案,警方循線查出生母為附近酒吧工作33歲余姓女子,並將她約談到案說明。
檢方庭訊時,余女供稱,孩子在住處浴室一生下就死了,是死胎,她當下不知如何處理,所以才會當垃圾丟棄;檢方日前針對男嬰解剖時,確認男嬰一出生便沒有呼吸心跳,檢方因此依遺棄屍體罪將余女起訴。
台北地院審理後,審酌余女坦承犯行且無前科,依遺棄屍體罪判她6個月徒刑,得易科罰金,緩刑2年,緩刑期間交付保護管束,另必須提供100小時義務勞務,可上訴
台灣防止溺女機構-育嬰堂-台北縣知事-村上義雄-仁濟院長-竹高慶四郎
台北縣知事為台灣日治時期1895年-1899年大台北地區的地方統治者。該行政區劃之台北縣,即今大台北地區。
歷任
田中綱常
橋口文藏
村上義雄
-----------
村上義雄 - 維基百科,自由的百科全書 - https://goo.gl/qMPneg
村上義雄 - Wikipedia - https://goo.gl/ot9sBp
村上 義雄(むらかみ よしお;1845年6月18日-1919年6月12日),舊姓平塚,日本九州熊本藩人(今熊本縣),為日本明治至大正時代的內務省官員。村上義雄於1898年(明治31年)5月3日接替橋口文藏,於台灣擔任台北縣知事,管轄今臺北市、新北市、宜蘭縣及基隆市等地的行政事務。
家庭
生父是熊本藩士出身的平塚孫四郎,義雄是其次子。養父是同樣為藩士的村上壺溪,後從養父姓,故名為村上義雄。
經歷
1874年(明治7年),被委任為東京府的第十等官員。
1882年(明治15年),轉任參事院職官。之後,又歷任高知県的大書記官、內務省書記官、県治局次長、長野縣書記官、廣島縣的各書記官、新潟縣內務部長等職。
1893年(明治26年)到1896年(明治29年),出任德島縣知事。同年8月,轉調至台灣總督府,就職於台中縣擔任知事的工作。
1898年(明治31年)5月,出任新竹線知事兼台北県知事。一直到1901年(明治34年)1月,台北縣的行政規劃被廢止。
1902年(明治35年)到1910年(明治43年),出任石川縣知事。
1910年12月3日,出任錦鶏間祗候[1]。
1917年1月22日、就任官幣大社生國魂神社宮司,原本的錦鶏間祗候被消滅廢止[2]。
再之後,出任八千代生命保險公司的監査役。
村上 義雄(むらかみ よしお 1845~1919) 明治時代の官僚。弘化2年5月14日生まれ。明治7年官界にはいり、 26年より徳島、台中、台北、石川の各県知事を歴任した。 大正8年6月12日死去。75歳。肥後(熊本県)出身。舊姓は平塚。
戒溺女勸諭(萬善堂碑記)(1890年代澎湖)

討債兒放水流(溺女殺嬰)

-----------------------
台北仁濟院之源起可追溯至清代的窮民救助機構保嬰局(1866)、育嬰堂(1870)、回春院(1875)、養濟院(1879)、同善堂(1886)等。「保嬰局」初期救養女棄嬰,後改為救濟貧苦幼童。「育嬰堂」收容、撫養棄嬰、孤兒及貧苦無以教養之嬰兒。「回春院」收容、救濟行旅病人。「養濟院」收容孤苦無依老人。「同善堂」做為來台官商兵勇客死而無力殯殮之停柩所,後亦嘉惠於渡台窮民。
日治時期,1899年(明治卅二年)五月三日育嬰堂、養濟院、同善堂合併為「台北縣立仁濟院」,院址在育嬰堂原址(今仁濟醫院廣州街243號)。而後因地方改制變更為『台北仁濟院』,並併入回春院及保嬰局。
台北仁濟院在日治時期是頗具規模的社會慈善救濟機構。救濟、收容對象為當時廢疾、病傷、老衰、幼弱之人民。在台北、基隆、宜蘭、羅東設立診療所,實施定期巡迴施診並於交通不便地區委託當地醫師進行義診。並收容行旅病人、結核病患者,補助盲啞教育及窮苦民眾之育幼教育經費。1922年於萬華崛江町(今西園路)開設精神療養院,並設置醫療所與監督室,為台灣專業精神病患監護機構之始。
國民政府遷台後,台北仁濟院以「仁心濟世」為宗旨,仍戮力於醫療及社會福利。台北仁濟院設立之附設機構:附設仁濟醫院、附設仁濟安老所、附設新莊仁濟醫院,即延續清代以降之社會慈善救濟精神。
台北仁濟院創立至今將屆150年,除秉持仁心濟世之精神外並遠瞻未來,成為國內聲譽卓著之公益慈善團體。
名稱
財團法人台灣省私立台北仁濟院
地址
台北市廣州街200號
主管機關
衛生福利部社會及家庭署
管理機構
本院置董事十一至十五人,由臺北市、新北市、宜蘭縣、花蓮縣、基隆市之縣市議會議長選聘,或由現任董事會就社會熱心公益人士中選聘之。任期四年,連聘得連任。
負責人
董事長:林明成
院長
戴東原
----------------------
台北仁濟院 - https://goo.gl/4LzE22
---------------------
仁濟醫院,為台北仁濟院的附屬醫院。
歷史
台北仁濟院之源起可追溯至清治時代的窮民救助機構。最早是由板橋林家林維源於1866年創立,分別設立了保嬰局、育嬰堂、回春院、養濟院、同善堂等。
臺北仁濟院
日治時期,1899年(明治32年)五月三日,台灣總督府將育嬰堂、養濟院、同善堂等合併為「台北仁濟院」,院址在育嬰堂原址(今仁濟醫院廣州街243號)。1922年(大正11年)成立仁濟療養院於萬華堀江町(今西園路),開設精神療養院,並設置醫療所與監督室,為台灣專業精神病患監護機構之始。
在2003年SARS事件期間,曾因出現院內感染而被封院數日。
--------------------------------
2015「燈燈鄉印‧照艋舺」,台北仁濟院在萬華的故事
文/翁淑英
國藝會倡起的「2015燈燈鄉印‧照艋舺」活動,萬華社區由台北仁濟院認養活動經費並偕同台北萬華社區大學所共同承辦,希望透過一系列活動,包括「元宵組燈」、「燈籠特展」、「燈節講座」等,重現舊時在年節期間濃厚的鄰里人情,以及豐厚的人文底藴。
台北仁濟院」對台北人,甚至是老萬華人來說,是一個既熟悉又顯陌生的名字。台北仁濟院現址坐落於繁華熱鬧的華西街與廣州街夜市口,不論遊客、攤販如何喧鬧,院前的那對已經超過百年歷史的石獅,依舊靜靜地守護著台北目前發展相對落後的萬華地區,照看鰥寡孤獨的弱勢族群……。
台北仁濟院的成立可追溯至清朝年間,前身為當時官方與民間所成立的保嬰局、育嬰堂、回春院、養濟院、同善堂等慈善機構。1899年,育嬰堂、養濟院、同善堂合併,於艋舺育嬰堂原址設立台北仁濟院。1904至1905年間分別再併入回春院及保嬰局。日治期間,台北仁濟院在1922年搬遷至崛江町(現今西園路,其中部份建物已列入市立古蹟),專門收養鰥寡孤獨及貧病交加的民眾,並辦理各式診療、地方巡迴義診、行旅病人與精神病患免費收容、盲啞生教育、弱勢兒童教育等慈善服務,同時成立精神疾病療養所,是台灣地區最早之精神病院。此外在基隆市、宜蘭市及羅東街分設診療所醫治偏遠地區的民眾,以及設立台北收容所,治療收容精神病患及結核病者。因此台北仁濟院成為日治時期台灣北部最重要之醫療與社會福利機構。
台北萬華企劃「2015燈燈鄉印‧照艋舺」,在元宵節當天舉辦「燈謎晚會」與「提燈踩街」,邀萬華社區民眾扶老攜幼一同參加,圖為萬華爺爺踩高蹺提燈。
1950年國民政府遷台,台北仁濟院辦理法人登記,改名「財團法人私立台北仁濟救濟院」,並在1951年於該院舊院址設立仁濟醫院;目前所屬附設機構除仁濟醫院外,另有新莊仁濟療養院及淡水仁濟安老所(註一),總院區與附設醫院僅一街之隔,坐落於萬華地區的中心,百餘年的時空流轉,台北仁濟院看著萬華地區從繁華到沒落,並冀望著未來從谷底向上攀升,而台北仁濟院將伴隨著萬華,成為豐富在地人身、心、靈最強而有力的依靠。
台北萬華區廣州街市集如往常地人聲鼎沸、遊客如織,筆者在國藝會的安排下,為「燈燈鄉印」活動而來,訪問了台北仁濟院的重要推手戴東原院長,戴院長親切地引領筆者在總院內部上下穿梭並詳加介紹,對院內現行業務如數家珍且充滿熱誠,完全感覺不出來他已高齡七十有六,而他的年紀正是目前台北仁濟院最重要的服務對象,說到現在台北仁濟院在社區的活躍,院長不禁感歎「十年前初到院服務時,由於台北仁濟院行事低調,一時之間竟鮮人聞問,因此在社區的相關社會慈善業務推廣上也較為困難……」,但現在的景況完全不同了,超過百多位的志工參與服務,「老人身心活化站」、「老人送餐服務」、「食物銀行」、「急難救助」等精采的業務推動與活動舉辦,已經讓台北仁濟院成為萬華地區的文史工作室、剝皮寮鄉土教育中心、台北萬華社區大學、台北市文獻委員會等機構重要的合作夥伴。除了老人醫護、為服務貧病而衍生的醫療照護與急難救助之外,如何提升萬華地區民眾對在地的認同與關懷,也是台北仁濟院積極希望介入的服務範疇。因此,自6年前開始每年舉辦歲末踩街活動,廣邀萬華社區民眾扶老攜幼一同參加,讓社區的民眾透過文化與藝術的引導,對地區鄉里有更深的認識與認同。
而此次「2015燈燈鄉印‧照艋舺」活動,是由國藝會所倡起,計畫串聯全台灣12個鄉鎮社區,以手作燈籠展現民俗工藝的藝術與創意,發揮在地生活美學,重拾街區歷史、建物風情,以及人文關懷。
萬華社區由台北仁濟院認養活動經費並偕同台北萬華社區大學所共同承辦,規劃一系列活動包括「元宵組燈」、「燈籠特展」、「燈節講座」等。
其中萬華社區由台北仁濟院認養活動經費並偕同台北萬華社區大學所共同承辦,希望透過一系列活動,包括「元宵組燈」、「燈籠特展」、「燈節講座」等,並在元宵節當天舉辦「燈謎晚會」與「提燈踩街」以達到活動的最高潮,期望重現舊時在年節期間濃厚的鄰里人情,以及豐厚的人文底藴。其中在「燈籠特展」親子手作燈籠活動中,透過社區工作坊的形式,運用萬華地區特色巷弄「青草巷」內的草藥葉脈紋理作為圖案與紋飾,拓印在手作燈籠上突顯出在地的特色。
另外的「燈節講座」則邀請社區裡來自東南亞的新移民,訴說她們家鄉流傳的燈節故事與風土民情。「這個活動很有意義的是,完全是以社區的人文與街區特色概念為出發,再透過文化與藝術來拉近與民眾的距離,這樣的活動是我們董事長林明成先生所長期關注的,我相信台北仁濟院未來一定會持續的支持與參與。」戴院長如此說道。
文化藝術如何介入台北仁濟院的社會慈善服務,對一位長期關注研究老人醫學照護與社區營造的專家來說,或許在現階段還很難想像並提出深度的見解,但從舉辦高齡人口才藝競賽、到傳統技藝開班授課,再到與國家文化藝術基金會合作「燈燈鄉印」計畫,台北仁濟院一步一步的往前走,相信成為萬華地區甚至是台灣北部地區身心靈的守護者,不用再多少的時光就能達成了吧!
註一:資料整理自台北仁濟院官方網站http://www.tjci.org.tw/




兩岸--溺女習俗。
台灣演進到養女制度






(碑文為「奉憲(令):永禁溺女!」)

清朝-窮人不許生女兒生了也掐死,女人最好只活20歲
2017-09-01 由 凡塵往事 發表于歷史
一個清朝的噴子,此人南京人,寫了一本《乙丙日記》,書中認為女人太多才造成了清末亂世,既然女人是禍害,那以後就少生女孩吧,尤其是窮人,以後就不要生女孩了,生了的也要溺死。女人活到20歲就夠了,再活也是浪費,如果長到30歲,那已經活的太久了。
聽聽,這話夠極端夠狂傲的吧。此人叫汪士鐸,原是個不起眼的讀書人,後來寫了幾部書,今天被人認為在中國最早的人口學家和歷史地理學家。他的這本日記,原本也只是沒有外傳的個人日記而已。他死後,好友把他的日記給刻印出版,結果引起了很大爭論,在今天仍有不少人承認,《乙丙日記》是中國較早的人口學論著。
既然有這麼多頂冠冕堂皇的帽子,此人為何提出了如此過激的言論?這恐怕跟汪士鐸的生活經歷有關。汪士鐸出生在一個破落的地主家庭,雖然是個富二代卻沒趕上什麼好日子,後來做過生意中過舉人,但僅此而已。其實大部分時間沒什么正經職業,偶爾收個徒弟或給人打打雜賺點錢。後來被拉去當了太平軍,又逃走投靠曾國藩手下,幫著鎮壓太平天國。
在自己的日記中,汪士鐸認為女人數量太多,是世亂之由。所以他的主張之一竟是「推廣溺女之法」。窮人生了女兒最好溺死,家有兩女者賦稅加倍。汪士鐸還對女性的長壽憤憤不平。他說男子理該活到60歲,活到70是福氣。而女性活到20歲,就是正壽,三十曰「甚」,意思是已經活得太久了。四十曰變,五十曰殃,六十曰魅。活到七十八十呢?就是妖怪。
有意思的是,這個對女孩如此憤憤不平的汪士鐸,他自己反倒是生了5個女兒,沒有一個兒子。但汪士鐸對這幾個女兒確實不好,大女兒28歲跳河自殺了,二女兒22歲時被夫家虐待的快死了,託人捎信給他他居然不管,在書里說「自己無能才拙,身後寡妻猶難顧,如何顧寡女?」
汪士鐸娶了倆老婆,第一個妻子老實溫順,有時汪士鐸不講道理,她「亦淡然置之」,但後來生病沒錢醫治死了。第二個老婆跟第一個是完全相反的,是典型的悍妻,汪士鐸嘴上吵不過,手上打不過,只好偷偷在文字中泄憤,說她「尋死拚命,多言長舌」,詛咒她「死於凌遲之國法」,或「死於拚命之騙人」。也許,他對女人的很多惡毒主張,都跟這位悍妻有關。
小編找來這本《乙丙日記》讀過,有人把它納入中國人口論著,個人覺得名不副實。汪士鐸是觸及了一些人口問題,也提出了一些主張,但受限於其生活圈子和當時的社會,今天看起來更像是現在的網絡噴子,並非嚴肅的學術主張。如建議朝廷「馳溺女之禁,推廣溺女之法,施送斷胎冷藥,家有兩女者倍其賦……」
因為是自己的個人日記,汪士鐸寫的很是膽大痛快,但他怎麼也沒想到,這些極隱私的日記在他死後會被出版,讓人對他既可憐又痛恨。
原文網址:https://kknews.cc/zh-tw/history/yn85rmk.html

汪士鐸(1802年-1889年),字梅村,晚號悔翁,江蘇江寧(今江蘇省南京市)人,清朝歷史、地理學家。由於其提出的人口理論,有「中國的馬爾薩斯」之稱。
生平
出身於破落封建地主家庭,曾經商,道光二十年(1840年)舉人,以游幕和接徒為業。咸豐九年(1859年)起先後充當胡林翼和曾國藩的幕僚,參與制訂進攻太平天國的軍事計劃。提出人口理論,認為國家貧窮就是因為人口過多。宣稱由於人多,當時已經「無田可耕」、「無技須人」、「天地之力窮」、「人事之權殫」,宣揚用殘暴手段減少人口,如認為窮人「不可生女,生當溺之」,又建議族誅、鎮壓起義、禁止喪偶者再婚和鼓勵作僧尼,「使婦人服冷藥,生一子後服之」等[1]。
著作
主要作品有:《汪梅村先生集》、《乙丙日記》、《梅翁筆記》、《南北史補記》、《水經注圖》等。目前尚留存的只有《汪梅村先生集》、《乙丙日記》、《梅翁筆記》。其中《乙丙日記》是一部談人口問題的主要著作。

(碑文為「奉憲(令):永禁溺女!」)
汪士鐸,竟然疾呼「弛溺女之禁,推廣溺女之法」!他的高見是:「治民須欲民富,而欲民富,首當行溺女之賞」,並建議窮人「不可生女,生則溺之」。清代人口瘋長,汪士鐸試圖通過大量「溺女」來遏止人口迅猛增長的勢頭——這提案,直教人無以為對!
(一)
「溺女」,您可別以為是「溺愛女孩兒」,俗話說,女兒是爸爸媽媽的小棉襖,怎麼愛都愛不過來嘛!錯了,我今天講的「溺女」,是特指對新生女嬰施以溺斃。
有人記下了溺女的情節,說「凡胞胎初下」,穩婆(接生婆)將新生兒舉起來,看是男是女,如果是女孩,就以一手將其蓋住,懸置於盆上,問其家人:「要不要(存否)?」如果答:「不存。」穩婆就坐下,叫倒水,然後將孩子倒吊過來,以頭入水,當即將其溺死。有的女嬰體力較好,一邊嗆水一邊掙扎,騰躍而大啼,穩婆即用力捺住其首。女嬰一時不死,輾轉其間甚苦,她母親或汪然淚下,卻不加阻止。只一會兒,女嬰無聲,穩婆撩之不動,始將其提起,然後整衣而去。
這是被接生婆子殺死的,其實更多的女嬰是被她生身父母親手溺殺!這要多麼硬的心腸啊!
「溺女」在號稱「禮儀之邦」的中國,是很久遠的習俗,與裹腳一起,同為殘害女性的兩柄利刃。
清朝入主中原之初,都察院左都御史魏裔介曾向朝廷報告民間溺女陋俗,順治帝聽了非常吃驚,道:「朕向聞有溺女者,猶未之信,今覽憲臣奏,始信果有其事。」並對此「俗」深惡痛絕。然而,溺女之俗卻在清代非常盛行,特別是隨著所謂「盛世」(實為普遍的貧困化)的推進,達到了歷史的高峰,有清一代被溺死的女嬰不計其數,許多地方一直到民國時期還延續著這一陋俗。
那麼是哪些地方盛行溺女呢?主要是人口較多的南方各省。據相關文獻記載,南方的廣東、福建、江西、浙江、江蘇、安徽、湖南、湖北以及北方的山西等省,都有溺女之風。
如廣東「溺女之風,所在皆然」。福建民「不喜多子,以殺為常」(同治時期刊刻的《省例》,列閩省惡習,大要有四:曰火葬,曰溺女,曰花會,曰械鬥)。江西民人「皆以生女為嫌,每多溺弊」。湖南「風俗向有溺女陋習,至今相沿,牢不可破」。浙江所屬嘉興、湖州、杭州、嚴州、紹興、金華、衢州、寧波、台州、溫州、處州等十一府,無不盛行溺女「敝俗」。即使到了清朝晚期,溺女之風仍然很盛。如福建福清縣「比戶而計,實無一戶之不溺」;侯官縣「鄉愚多溺女,歲以千計」。江西弋陽縣「生女勿舉者,十嘗三四(十個女孩,能活的只有三四個)」;靖安縣更甚,該縣「為戶三萬有零,生女之數歲不下數千,其願養者十之一二,溺弊者已十之八九」,這個縣百分之八九十的女孩在初生時就被殺死了!
如此大規模的殺人,且殺害的是自己的柔弱無助的至親!簡直讓人以為這不是文明之國,而是誤入蠻荒的野蠻時代。讀到這大量的史料,我是瞠然無語的。
(二)
清代盛行溺女,導致全國,尤其是南方各省人口性別比例嚴重失調,產生了嚴重的社會問題。
人口性別比例是人口性別結構的重要指標,其基本含義是平均每100個女性所相應的男性人數,計算公式是:性比例=男性人數/女性人數X 100。如果得值數大於100,表明男性人數多於女性人數;反之,則男性人數少於女性人數。數值在97-105之間為基本正常。
由於沒有全國性的數據,我們來看浙江嘉興府的例子。嘉興位於經濟發達、人口密度高的太湖流域,盛行溺女。據記載,乾隆三十四年(1769年),該府大小男丁為1,342,682人,大小女口為970,901人,性比例達138.29。以後乾、嘉、道光、同治等年該府人口性比例均超過130,與1928年浙江全省人口性比例131大致相當。可見其人口性別結構是嚴重失衡的。
嘉興並不是最高的,比如一向存在「溺女之俗,無論貧富皆然」的同省嚴州府,以該府乾隆十九年(1754年)的人口資料為據,其下屬桐廬縣人口性比例高達212.6 8,遂安縣達203,分水縣為182.35,壽昌縣為177.85。
如此失衡的人口性別比例,直接引致男性婚娶難——簡單說,男多女少,男人娶不到媳婦!
曾任江西弋陽知縣的譚暄,就在「禁鬻妻說」中指出,因社會上盛行溺女,致使「女少男多,配偶難給,有子無媳,三十不婚,鰥曠成群」。此類現象十分普遍,如「溺女之風較他邑尤甚」的福建漳浦縣,「一邑之中,曠鰥十居六七」,十個男人中,六七個都是光棍;而同省邵武府,「貧家溺女之風尚未盡革」,以致該府泰寧縣「男多女少,故有僧道而無比丘尼」——女人都是寶,連尼姑庵都因此招不到人!
性比例嚴重失調及其導致的男子婚娶難,還成為社會的不安定因素。時人云:「男女之情乖,則嫐淫之事起,室家之念絕,則盜賊之心生。姦淫則風俗不正,盜賊則地方不寧。是溺女之害,不特滅絕一家之天理,而且種成姦淫、盜賊之禍根。」
總而言之,清代盛行溺女,不僅是一種頑固滋蔓的陋俗,還演化為突出的社會問題。
(三)
這裡存在一個奇怪的問題:在歷史上,丁稅負擔很重,曾是導致溺嬰流行的主要因素。但清朝自康熙五十一年( 1712年)即下詔,「盛世滋生人丁,永不加賦」,雍正年間又實行「攤丁入畝」,正式廢除了「人頭稅」,為什麼溺殺新生女嬰的現象不僅未見減緩,反而愈演愈烈呢?
除了「厚嫁之風」(現在說生女兒是招商銀行,好像還能賺似的,可是許多地方嫁女的經濟負擔也是挺重的)、重男輕女的觀念,以及貧窮等傳統原因,清代溺女之風甚囂塵上,還有這個朝代特殊的背景,其根本原因在於人口增長與農業生產發展的不同步,造成的巨大人口壓力。
如康熙五十年(1711年),全國人丁為2,462萬,到乾隆二十七年(1762年),僅僅五十年,即突破2億。到道光三十年(1850年),才過去一百年,復增至4.3億。這麼大規模、長時間的持續性人口增長,是人類歷史上獨一無二的,如薛福成所言:「戶口藩衍實中國數千年所未有!」即便在隨後的太平天國之亂中,人口下降很快(同治三年為1864年,該年人口已降至2.5億,增一億,少一億,在中國這人命與草何異呢?),之後中國一直動盪不安,還經歷多次大戰,但到中共建政時,人口仍躍至4.9億的新高峰!
然而急劇膨脹的人口,對清朝中國沒有任何紅利可言。眾所周知,清代農業生產水平停滯不前(清代早中期糧食畝產367斤,僅比唐代高33斤,且在鴉片戰爭後進一步衰退),人均耕地面積持續遞減,導致嚴重的糧食危機,溺女正是在這個背景下愈演愈烈的,故云:農民「餬口無貲,全生無策,萬不得已而忍而出此」。
俗話說「窮而俗敝」,又雲「倉廩實而知禮儀」,此理正中!
清朝農村大量溺殺女嬰,以及由之造成的男女性結構的不平衡,從根本上來說,也是人口的一種自發的調節機制;「溺女」現象的盛行,是巨大的人口壓力反作用於人口增長的結果。
(碑文為「奉憲(令):永禁溺女!」)
但士大夫與官府從倫理道德上,對溺女這種「人倫之變」還是持反對態度,各地都頒布了一些禁令。但總體而言,對溺女惡俗懲治不嚴,或持放任態度。而像大儒汪士鐸那樣狂吠,公然倡議溺女,以為是解決人口膨脹問題的良方,則既露其殘忍的本性,也是淺薄之言,他絲毫沒有看到溺女現象背後的根本原因。
有時候,我只好哀嘆,咱們這裡大思想家實在太多了——豈止磚家也乎哉!
原文網址:https://kknews.cc/history/yay8ka.html
大陸福建FU JIAN福州FUZHOU永泰縣【嵩口古鎮】:杜絕當時重男輕女的惡習,豎立「永禁溺女」石碑告誡。
光緒年間福建永禁溺女碑
1930年5月9日,浙江人口統計,女少男250萬,溺女惡習所致。溺女為中國傳統惡習,然而這個在社經條件受限下所產生的行為,其背後的文化意義也有值得深究之處。詳見本所舉辦學術會議研討成果:林麗月,〈風俗與罪愆:明代的溺女記敘及其文化意涵〉,收入游鑑明主編,《無聲之聲(Ⅱ):近代中國的婦女與社會(1600-1950)》。
--------------------
壽寧:馮夢龍《禁溺女告示》拯救女嬰
2015/07/09 來源:中國新聞網
摘要:摒棄重男輕女,宣揚男女平等,這種觀念在現代並不鮮見,但古人崇尚這個觀念卻為難得,而壽寧在三百年前就倡行男女平等了。
三百年前的壽寧流傳著溺女嬰的陋俗,時任知縣的戲曲家馮夢龍便提出,懲治重男輕女、溺嬰的陋習,並頒布了禁止溺棄女嬰的告示,一邊設厲禁,一邊捐俸以賞收養者,使「此風頓息」,挽救了無數女嬰的生命。(寧德新聞網綜合編輯)
摒棄重男輕女,宣揚男女平等,這種觀念在現代並不鮮見,但古人崇尚這個觀念卻為難得。三百年前的壽寧流傳著溺女嬰的陋俗,時任知縣的戲曲家馮夢龍便提出,懲治重男輕女、溺嬰的陋習,並頒布了禁止溺棄女嬰的告示,一邊設厲禁,一邊捐俸以賞收養者,使「此風頓息」。
東南快報記者了解到,在我國,男尊女卑、重男輕女的風俗自古已然,《詩經》中曾把生男生女分別以「弄璋弄瓦」喻之(璋為美玉),後發展出溺死女嬰的惡俗。戰國時期溺女就有一定的普遍性,《韓非子·六反》記載著「且父母之於子也,產男則相賀,產女則殺之」的說法。爾後,「生女不舉」成為一種普遍性的社會心理。明清時,這惡習盛行,甚至越演越烈,溺女事件不絕於史書。究其原因,前人多歸咎為家中無兒的家庭希望婦女早斷奶早受孕,以得到男孩;同時擔心女兒長大後「嫁女破家」,賠不起嫁妝。但其本質卻是封建的繼承制度和貧困造成的殘忍。壽寧縣傳統文化研究會會長李安告訴記者,溺女陋習的流行會進一步加劇男女失衡、戶口凋殘,使勞力和兵源銳減,動搖統治根基,也是對女性人權的極不尊重,從而會引發諸多社會問題。
「提起馮夢龍在壽寧,不能不提《禁溺女告示》。」壽寧縣委宣傳部主任科員黃立雲說。
黃立雲介紹,馮夢龍年輕時喜歡採集坊間歌謠韻語,32歲那年,他將歷年收集的曲謠匯集為《掛枝兒》付梓刊行。而當了七品知縣的馮夢龍依然難改積習,在走村串寨辦理公務之餘,也會注意留心民間歌謠、小曲。
一次,馮夢龍在平溪鄉的牛欄頭(湖潭)村看到一個面目清秀的小女孩在路邊拔草,一邊唱著:「月光光,照四方,照遍人間爹和娘,只願生男莫生女,生女便出噁心腸。爹慮養女嘸恩報,娘愁養女嘸衣穿。爹呀爹,娘啊娘!如何不思量?生雞生犬且喜歡,為何生女毒如狼!勸爹爹,勸娘娘,溺女不如棄路旁,留得性命恩還在,縱然赤貧也無妨。我幸爹娘收去養,今宵能唱月光光!」
那哀怨淒婉的曲調,不禁讓馮夢龍想起縣衙前面的「子來橋」上,常有被遺棄的女嬰在竹筐里聲嘶力竭地哭啼。他將此事放在心上,在往後沿途所到村莊,都注意了解棄嬰情況。馮夢龍發現,壽寧非常重男輕女,民間遺棄女嬰、溺死初生女嬰的現象十分普遍。路過仙崖寺,他看見許多婦女在虔誠地燒香拜佛,靈機一動:「寺庵乃善男信女聚會之所,何不借積善種德之名,來宣揚珍惜女嬰生命的觀念。」
到平溪公館後,馮夢龍展紙揮毫,寫下一聯:「神靈有赫,不溺女定生奇男;天道無私,能孝親必生貴子」,並命人張貼在仙崖寺里。
為了禁止溺女陋習,回到縣衙的馮夢龍又親自動筆,用通俗易懂的白話文寫下一篇語重心長、可操作性很強的《禁溺女告示》,專項治理溺女惡俗。
馮夢龍寫好《禁溺女告示》,命書吏抄寫了幾十份,蓋上大紅公章,派衙役們到全縣各村去張貼宣傳,並嚴格執行《告示》規定的「各鄉各堡但有生女不肯留養、欲行淹殺或拋棄者,許兩鄰舉首;本縣拿男子重責三十,枷號一月,首人賞銀五錢;如容隱不報他人舉發,兩鄰同罪;或有他故必不能留,該圖呈明,許托別家有奶者抱養;其抱養之家,本縣量給賞三錢,以旌其善」等舉措。從此,壽寧溺女之風漸息。「馮夢龍挽救了無數女嬰的生命,做了一件功德無量的大善事。」壽寧縣委宣傳部主任科員黃立雲如是說。
李安告訴記者,馮夢龍這份距今三百多年的反溺女嬰的告示,不僅不打官腔、明白通暢、以理服人,而且字裡行間充滿了人道主義精神和悲憫心腸,體現了馮夢龍對勞動人民的深厚同情與關懷,以及對重男輕女的封建思想的不滿和憤慨;更為可貴的是,《禁溺女告示》為婦女爭取生存權,反對重男輕女,提倡生男生女一樣好、男女平等,體現了民主進步的思想,如今仍有著它的現實意義和可以借鑑之處。(東快見習記者吳建萍文/圖)
原文網址:https://read01.com/PRmAMD.html
臺灣記憶 Taiwan Memory - https://goo.gl/LRFzH2
育嬰堂
清代臺灣專門收容棄嬰之機構。傳統中國因受生活貧困、迷信、重男輕女等觀念影響,早有棄嬰溺女之陋俗。對應於此一社會現象,宋代即出現收容棄嬰之機構。清初臺灣因正值初墾階段,加上禁止攜眷政策影響,人口以壯年男性為主,棄嬰溺女之事絕少聽聞。乾隆中期以後,隨著攜眷政策的弛禁,人口增加、墾地日闢,漸有棄嬰溺女之紀錄出現;至於育嬰堂等兒童救濟機構則遲至嘉慶初年方有文獻記載。
清代臺灣先後設有7所育嬰機構。1796年(嘉慶元年),嘉義地方士紳出面勸捐置業,在城隍廟左堂成立育嬰堂。道光年間,彰化知縣高鴻飛出面提倡,官紳合捐經費,以抄封叛產作為堂舍,收養貧不能養之女嬰。1854年(咸豐4年),府城富戶石時榮,自捐土地家屋以為堂所,又名養生堂。1866年(同治5年),林維源倡捐置產,在枋橋街(今板橋市(註 1))成立保嬰局,以收養擺接堡內之棄嬰。1870年(同治9年),淡水廳同知陳培桂首創由官紳合建的淡北育嬰堂,購買黃姓地基新造而成。同年,陳培桂又於竹塹(今新竹)城內龍王廟右成立育嬰堂。1880年(光緒6年),澎湖通判李郁偕等,向官紳廣募經費,改築邵公祠為育嬰堂。金門亦設有育嬰堂,唯金門非屬臺灣府管轄。
收容棄嬰的機構除枋橋街名為保嬰局,餘皆稱育嬰堂。研究者推測,自有房舍在堂內施行保育者稱堂;未有機構房舍,讓嬰兒於乳母家就養,僅撥補經費者則稱局。
育嬰堂未限定收養嬰兒之性別,然資料顯示被收養者絕大多數為女嬰,顯示除了經濟因素外,與傳統重男輕女的觀念有關。育嬰堂的收容能力相當有限,且常因經費不繼而中止暫廢,以致社會上仍有大量棄嬰,特別是女嬰。因救濟機構無法全部收容,或家長不願意將棄嬰送往育嬰堂,民間溺女的風氣始終未能盡除。日本領臺後,育嬰堂大都被併入慈惠院或仁濟院。
清代廿八都的保嬰局及其社會意義──以兩塊保嬰碑文為中心- 月旦知識庫 - https://goo.gl/dz5YQW
台北仁濟院 - https://goo.gl/kYk3XX
台北仁濟院起源可追溯至清朝年間,前身為保嬰局、育嬰堂、回春院、養濟院、同善堂等慈善機構。保嬰局設立於1866年,一開始收容無辜女棄嬰,後改為恤救貧兒童。而1870年設立之育嬰堂,收養棄嬰、孤兒及貧苦無以教養之子女。回春院設立於1875年,主要為收容救濟行旅病人,養濟院設立於1879年,為賑濟鰥寡孤獨及殘廢無告之窮民所設。同善堂設立於1886年,主要為客死台北之軍官、旅人提供停柩器憩之所而設立。
在1899年,育嬰堂、養濟院、同善堂合併,於艋舺育嬰堂原址設立台北仁濟院,並於1904~1905 年分別再併入回春院及保嬰局。
台北仁濟院重要的史績文物育嬰碑,是為西元1870年,同知陳培桂創設育嬰堂,收置棄嬰、孤兒及孤苦無依子女,故刻碑以紀念其落成。而在西元1972年 ~1975年間,因興建仁濟醫院新大樓,而重新出土,西元1975年文獻會重彰古蹟蕃延文化,也再撰立碑文紀念之。


淡北育嬰堂
該石碑立於同治9(1870)年,距今已一百三十餘年。 2、該石碑記載淡水同知陳培桂為收養孤兒創立育嬰堂之事蹟,具有歷史文獻價值。 3、明治32(1899)年,臺灣總督兒玉源太郎整併清代養濟院、同善堂、育嬰堂等成立臺北仁濟院,可見證該院院史。 4.該石碑見證臺北市早期慈善事業之發展--清同治九年(1870)署淡水同知陳培桂勒立,敘述創建淡北育嬰堂的經過,並記該堂的格局與規模。今碑存立臺北市萬華區仁濟醫院。
地點:台北市廣州街200號
淡北育嬰堂碑 @ 童妍童羽 :: 痞客邦 :: - https://goo.gl/kSYSDD





------------
碑文內容如下
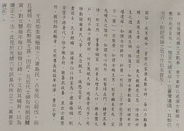
艋舺之在臺。猶滄海一扁舟。形象家謂台地龍脈皆西向。艋地亦然。開闢未久。生齒日繁。貿易之盛。駸駸乎與群城比。蓋同治初年。開設通商口岸。滬尾、雞籠兩處。且與省垣對渡。故持計然術者多居之。余於乙巳秋東渡。由此登岸,見夫市廛輻輳。庶牧蕃昌。儼一都會也。暫寓學海書院。知其人文亦蒸蒸日上。私心喜慰。晤縣丞林君桂芬。則以為艋舺。諸臻美備。惜育嬰一事未行。余自揣入閩以來。福鼎本有育嬰堂。余增其田畝。並於鄉間。勸行育嬰社法。蒞沙縣。則堂久廢。余於治西創建。並為之置產千餘金。治南平又協同上憲。創建育嬰堂於城西。竊思此事。曾屢留意。淡地初蒞。屬林君速議。並捐廉倡首。以期有成。爰經始於同治九年正月至七月。暫城育嬰堂尚未報竣。此則邇觀厥成。為堂三楹。中奉神座。前覆拜亭。再前為門。頭門亦三楹。左右夾室。右邊築室七間為小門。使有屏蔽。乳婦居焉。前後增置餘地一大片。堂左亦有餘地。是役也。糜洋錢一千二百元有奇。經營佈置。皆林君桂芬之力居多。司其事者。則蘇內翰袞榮。翁別駕林英。林博士紹唐。蔡上舍瑞艷。林上舍友藻。至經費所資。自有通詳各憲稿在。備書之。以告後之來斯堂者。賞戴花翎本任澎湖分府署北部淡水分府辛酉任戊甲子科福建鄉試同考官加六級紀錄十次嶺南陳培桂撰同治九年孟秋之月穀旦立
淡北育嬰堂碑
淡北育嬰堂碑 @ 童妍童羽 :: 痞客邦 :: - https://goo.gl/kSYSDD
萬華區公所介紹如下:
在廣州街243號的舊仁濟醫院門邊,嵌了一塊艋舺碩果僅存的「淡北育嬰堂碑」,昔日就因該地建了一座類似今天孤兒院的育嬰堂而得名,今日仁濟醫院便是育嬰堂舊址。
育嬰堂的由來,是同治9年 (西元1870年),淡水同知陳培桂,為收養孤兒、貧困人家子女及矯正溺斃女嬰的惡息而創建「育嬰堂」。該堂顧用四名奶媽,經營育嬰事業,因申請救濟者過多,才訂下規則,規定收容人數以五十名為限。到了日據時代,育嬰堂才撤廢,但育嬰堂碑為艋舺地區碩果僅存的古碑。
光緒十四年臺灣布政使司給保嬰局丈單XML
光緒十四年八月擺接堡西盛庄 編 號AH000731作 者朝 代地 區典藏單位國立臺灣博物館尺 寸284mm*230mm素材故事光緒十四年臺灣布政使司給保嬰局丈單,載明其同治五年買楊錫煌田業之位址、詳細面積及清丈經費

--數位典藏授權平台, 數位典藏圖像授權平台, 數位典藏網路商城 - https://goo.gl/sTi5wC
同治十年給淡水廳業戶擺接保嬰局契尾XML
同治十年桕仔林溪洲庄編 號AH000542作 者朝 代地 區典藏單位國立臺灣博物館尺 寸568mm*418mm素材故事同治十年淡水廳給業戶擺接保嬰局買楊錫煌田園一所之契尾

--數位典藏授權平台, 數位典藏圖像授權平台, 數位典藏網路商城 - https://goo.gl/Txh4WG
台北仁濟院
維基百科,自由的百科全書
財團法人私立台北仁濟院,源自於清同治五年(西元1866年),係由當時之地方士紳所募資,而共同設立的私人慈善組織。其中之一為由板橋士紳林維源創立的保嬰局等一系列地方慈善機構之一。1895年後,進入日治時期,為配合當時所發布的慈惠規則,與數個私人慈善單位,共同組織而成立台北仁濟院。於1949年,國民政府遷台後,再依國民政府之法令規定登記至今。
歷史
台北仁濟院之源起可追溯至清治時代的窮民救助機構。最早是由板橋林家林維源於1866年創立,保嬰局、育嬰堂、回春院、養濟院、同善堂等。
「保嬰局」初期救養女棄嬰,後改為救濟貧苦幼童。
「育嬰堂」收容、撫養棄嬰、孤兒及貧苦無以教養之嬰兒。
「回春院」收容、救濟行旅病人。
「養濟院」收容孤苦無依老人。
「同善堂」做為來台官商勇客死而無力殯殮之停柩所,後亦嘉後惠於渡台窮民。
1899年(明治32年)五月三日,依慈善規則向台灣總督府申辦將育嬰堂、養濟院、同善堂合併為「台北仁濟院」,院址在育嬰堂原址(即今仁濟醫院廣州街243號)。而後因地方改制變更為『台北仁濟院』,並併入回春堂及保嬰局。1922年(大正11年),於萬華堀江町(今西園路),成立仁濟醫院,開設精神療養院,並設置醫療所與監督室,為台灣專業精神病患監護機構之始。
附設機構
台北仁濟院現今設立之附設機構:
仁濟醫院
仁濟安老所
新莊仁濟醫院
創設於清同治五年的台北仁濟院前身,是由板橋士紳林維源等地方人士所捐建的保嬰局。到了日治時期,依台灣總督府所發布的慈惠規則,登記設立為公益慈善團體。早期均為地方士紳所捐設的農地,隨著都市發展而成為市區。1945年台灣光復,台北仁濟院依國民政府所頒布的法令規定,登記為財團法人,首任董事長為游彌堅,直到民國62年,始禮聘連震東先生為第十屆董事長。現任董事長為原捐助者之後裔林明成。
--------------------------------------------
財團法人臺北仁濟院
財團法人臺北仁濟院
仁濟院
圖像說明
創立於前清同治年間,日據時代合併育嬰堂、養育院、同善堂、回春院、保嬰局,稱臺北仁濟院,1923年改組為財團法人組織,位在艋舺堀江町,今萬華西園路上。(資料來源:臺北仁濟院歷史沿革,http://www.tjci.org.tw/CenterPage_Hi178?y_SketchName=Sketch1-1_Hi178)
---------------------
臺北仁濟院
臺北仁濟院、仁濟醫院
官方公共建築
臺北仁濟院
創立於前清同治年間,日據時代合併育嬰堂、養育院、同善堂、回春院、保嬰局,稱臺北仁濟院。今址為臺北市西園路二段42號。
拍攝日期
1925年
日治時期(1895-1945)
--------------------
仁濟院創立於前清同治年間,日據時代合併育嬰堂、養育院、同善堂、回春院、保嬰局,稱臺北仁濟院。今址為臺北市西園路二段42號。
拍攝日期1931年
日治時期(1895-1945)
拍攝地點臺北市萬華區西園路
-------------------
仁濟院
仁濟院創立於前清同治年間,日據時代合併育嬰堂、養育院、同善堂、回春院、保嬰局,稱臺北仁濟院。今址為臺北市西園路二段42號。
拍攝日期1931年
時期日治時期(1895-1945)





拯救嬰兒的保嬰局



施善與教化-明清的慈善組織 - 梁其姿 - Google 圖書 - https://goo.gl/29QiR9

清代廿八都的保嬰局及其社會意義──以兩塊保嬰碑文為中心- 月旦知識庫 - https://goo.gl/dz5YQW
清代廿八都的保嬰局及其社會意義──以兩塊保嬰碑文為中心
作者 姜守誠
中文摘要
浙江省廿八都鎮地處大山深處,風景優美、歷史悠久,這裏因其獨特的地理環境而保存了大批明清古建築群及眾多人文遺存。本文從現藏於廿八都潯里街文昌宮內的兩塊清代碑石入手,結合方志文獻中的有關記載,對清末廿八都民眾設立保嬰局救助女嬰的文化背景、社會影響等內容做一個初步地討論和研究。
謠言終結站》虐童殺嬰最多的一年?衛福部:兒虐致死大幅降低 -今年1月至10月止,因兒虐致死共計12人,和去年同期死亡29人相較,已大幅降低- https://goo.gl/uuqxdN

女移工未婚生子、棄嬰 2000名「黑寶寶」見不得光
文 / 彭杏珠 攝影 / 張智傑 2019-06-03
女移工未婚生子、棄嬰 2000名「黑寶寶」見不得光 | 彭杏珠 | 遠見雜誌 http://bit.ly/2qUMgyf
關愛之家收容132名黑寶寶,讓創辦人楊婕妤在人道與法律的兩端拉扯。
女移工未婚生子、棄嬰 2000名「黑寶寶」見不得光 | 彭杏珠 | 遠見雜誌 http://bit.ly/2qUMgyf
逃跑移工未婚生下的「黑寶寶」高達2000名,已成為社會隱憂。政府必須將這些問題納入移工政策整體考量,否則黑寶寶不會消失,永遠是台灣社會的痛。
你知道台灣有一批沒有身分的「黑寶寶」嗎?
台灣目前約5萬名逃跑移工,成為治安隱憂,同時還衍生出另一大問題,就是移工懷孕生子。由於大多是黑工所生,且孩子膚色黝黑,被稱為「黑寶寶」。
2016年8月30日,桃園市新屋的吳姓養豬戶,在處理廚餘桶準備餵豬時,打開廚餘袋,赫見還連著臍帶與胎盤的男嬰屍體,嚇得趕緊報警。警方兩天後循線查獲30歲印尼逃逸女移工「雅妮」,就是孩子的生母。
上千名黑寶寶 未納管動向不明
雅妮在印尼已婚,育有7歲兒子,透過仲介來台當看護,除照顧老人還要負責家事,因無法負荷,做了一星期就逃跑;後來找到新雇主,但她腰圍卻一天比一天粗,新雇主以為是發福,沒想到是懷孕,竟偷偷在廁所生產,將屍體裝入垃圾袋,趁清晨無人時,再丟到社區的廚餘桶。
但,這並非偶發事件。類似事情在台灣各角落正不斷發生中。今年3月27日凌晨,新北市中和區一處工地旁人行道,被民眾發現裝著女嬰的紙箱,所幸送醫後生命跡象穩定,警方查出生母是20歲的越南籍阮姓移工。她去年3月經仲介來到台灣電子工廠上班,孩子生父為同鄉移工,兩人因養不起又怕被遣返,才做出蠢事。
這樣一個個產後遺棄嬰兒的故事,對台灣人而言,很不可思議,但對收容黑寶寶的台灣關愛之家協會創辦人楊婕妤來說,卻是經常圍繞在身邊的真實故事。
楊婕妤感慨萬千地說,她經常聽聞躲在山上的逃跑移工意外懷孕生產,迫於無奈,只好忍痛掐死孩子。不久前,就有逃逸移工偷偷產子,在家照顧四個月大的嬰兒,由於非法居留,沒有健保、也不敢看醫師,孩子最後發燒致死,緊急向她求助。
如果不是10年前,關愛之家開始收容黑寶寶,近來陸續被媒體揭露,外界根本不知道台灣有一群黑戶小天使。
根據移民署篩濾從2007年至今年3月底的資料,經醫院通報生母為失聯移工或以不實身分提供新生兒通報,經查去向不明者共有724人。社工員初估包含在家生未通報的嬰兒,全國約有2000個黑寶寶。目前關愛之家收容132名、政府安置了41名,其餘則散落在外,跟生母過著逃亡的生活。
關愛之家就位於台北市一處山坡上的雙拼公寓,出入得從後門的蜿蜒樓梯,逐層爬上去,是目前全台唯一收容黑寶寶的民營機構。推廣部主任郭立凱解釋,早期關愛之家安置愛滋病友,後來改成收容移工寶寶,當地住戶難免排斥,禁止他們走公共樓梯,僅能走後門或使用停車場的通道。
印尼移工受宗教影響 無法避孕墮胎
《遠見》記者來到關愛之家,馬上就聽到一群孩子的嬉鬧聲,熱心志工正在教大一點的小朋友唱遊。這群膚色黝黑的孩子個個輪廓深邃,活潑可愛,又唱又跳;也有志工負責照顧2歲以下小嬰兒;甚至還有媽媽待產間及育嬰室,14位剛出生的寶寶,有的在睡覺,有的正在喝奶。
滿屋子的新生命,背後卻是令人不堪的現實。
據移民署台北市專勤隊分隊長劉建志指出,這些黑寶寶大多是失聯移工所生。楊婕妤也證實,關愛黑寶寶的生母有99%是逃跑移工,印尼籍占九成以上,其次是越南、菲律賓。這恰好與台灣失聯女移工國籍的多寡成正比。逃跑最多的是印尼女移工1萬9871名,再來是越南8908人。
楊婕妤解釋,生母多數為印尼人,是因為伊斯蘭教徒不能避孕、墮胎,只要懷上就要生下,生父多數是印尼移工,也有越南、泰國移工。
其實,政府雖於2002年取消懷孕就得遣返的規定,但部分雇主仍會私下要求簽署不得懷孕的契約。多數人意外懷孕後害怕被遣返,只好逃逸或遺棄孩子。她們大多藏匿在山上、農村,從事粗重農活或屠宰工作。曾有專勤隊經檢舉去查緝,發現逃跑移工已生下兩個孩子,照規定必須遣返出境。「但站在人道立場,看媽媽正在餵食兩個月大嬰兒,很於心不忍,」第一線人員陷入天人交戰。
孩子變成人球 健康就學隱憂多
逃跑移工生子,衍生的問題相當棘手。首先,生母非法居留、沒有健保,不是冒險墮胎就是在住處生,有些媽媽鋌而走險冒用別人的資料去醫院生產,兩天後棄嬰逃逸,醫護人員也感到頭痛不已。
一位不具名的教會修女說,移工圈都知道到哪些診所墮胎,也聽過因墮胎而死的案例。加上在家生風險高,母親與嬰兒都沒有保障,到底有多少人因此喪命,也不得而知。
求助無門的移工媽媽們,因此不約而同找上關愛之家。其實,33年前關愛之家成立時,宗旨是為了收容愛滋病友,10年前才開始對懷孕移工伸出援手,沒想到求救者愈來愈多,最多一度曾照顧到171個黑寶寶。
關愛之家默默做這件事,甚至還登上印尼的雜誌。2007年,有位印尼媽媽讓楊婕妤看了很心酸。這位媽媽前一晚到辦公室時已熄燈,她懷疑自己能不能活到明天,隨便找個角落安身後,隔天撐著走到辦公室門口,雙腳已疲軟跌坐在地,志工趕緊送醫生產。「她手上竟然是拿著印尼雜誌的報導,循線找上關愛之家,」楊婕妤說。
逃逸媽媽非法居留,孩子自然沒有出生證明,形同人球。例如肺炎鏈球菌疫苗須有寶寶手冊的孩子才能注射,就算想自費也無法接種。關愛之家就有三位嬰兒因沒有抗體而死亡。
曾有寶寶晚上被丟棄在關愛之家樓下,凌晨1點送醫,早上8點15分斷氣,楊婕妤看著弱小生命就這樣殞落而痛心不已。經多年努力後,關愛之家的黑寶寶,終於可以取得手冊了。
這兩年來,儘管醫療院所、台北市社會局均給予協助,但楊婕妤仍無法支付龐大醫療費。逃逸媽媽生孩子要2萬至3萬、剖腹4萬至5萬元,一口氣來10個孕婦,就要30幾萬;早產兒待保溫箱一天約7000元,一個月就是20幾萬的費用。曾有一個寶寶罹患心臟病,向各方募集到100萬元,才動手術度過難關。
無私照顧棄嬰 竟引來外界非議
每年高達約200萬的醫療費,就在善心人士小額捐助下,以每月陸續清償20萬的方式維持運作。
10年來,關愛之家已成為黑寶寶與逃逸媽媽的避風港,都將楊婕妤與照顧的阿姨們視為家人。
一位5歲的莎莎,長得濃眉大眼,說得一口流利中文的她高興地與記者話家常。她的哥哥在隔壁幼稚園上課,媽媽已向移民署自動到案,一家四口正在辦遣返手續,很快就要回印尼。照顧的阿姨不捨地說,莎莎的哥哥只會說中文,今年9月就要讀小一,一方面替他高興,可以跟媽媽回家團圓,又擔心他回印尼會有適應問題。
遺憾的是,楊婕妤的愛心常引來外界非議。甚至有官員及民意代表主張,關掉「關愛之家」,黑寶寶就不會成為媒體焦點。
這種言論令志工們心寒。過去因為有人檢舉,管區警察曾一天三餐到場臨檢,要求志工們拿出身分證。一位沒帶證件的70幾歲志工阿嬤忍不住抱怨,「我們在幫這群無依無靠的孩子,你們這是在做什麼?」
多年來,黑寶寶議題讓楊婕妤在人道與法律的兩端拉扯。常有媽媽將孩子偷擺在門口就消失。她知道移工貸款來台工作,不得已才狠心遺棄,深怕媽媽吃上六個月徒刑的遺棄罪,她常心軟沒向政府通報。希望透過社群平台協尋生母,給逃跑媽媽回心轉意的機會,等待她們出現。
孤軍奮戰的楊婕妤慨嘆地說,「如果政府都做了,也輪不到關愛之家來做;如果助人是非法,我們真的也很無奈!」每當執法單位逼問逃逸媽媽的地址時,她常陷入兩難。
關愛之家雖位於台北市,但黑寶寶的生母來自全台各地,2016年台北市政府因此促請中央跨部會研討,終於同意給資源,並委由北市府協助安置無依及經生母同意的孩子到各縣市,讓生母得以就近探視,目前已安置41位小孩。
但台北市在安置黑寶寶過程中,也面臨與楊婕妤同樣的遭遇。不少縣市私下抱怨,關掉「關愛之家」,沒有孩子就不用安置了,不然要收到何時?
多數民眾認為,移工來台期限到就回母國,本應潔身自愛,為何懷孕生子後,台灣還要幫忙收拾爛攤子?這個聲音也讓黑寶寶問題更棘手。
台北市社會局兒少科科長王惠宜認為,就算沒有關愛之家,黑寶寶還是會存在,只是隱藏在不同角落,問題會更大。她呼籲政府不能只引進移工,卻沒有配套措施。
如何杜絕移工非法生子?萬一移工懷孕後,又該如何處置,以符合法律與人道原則?政府必須將這些問題納入移工政策整體考量,否則黑寶寶不會消失,永遠是台灣社會的痛
女移工未婚生子、棄嬰 2000名「黑寶寶」見不得光 | 彭杏珠 | 遠見雜誌 http://bit.ly/2qUMgyf
艋舺仁濟醫院之石獅篇@臺灣石獅地圖|PChome 個人新聞台






艋舺仁濟醫院之石獅篇@臺灣石獅地圖|PChome 個人新聞台
貧困夫妻連生7胎100萬賣掉女嬰 判3年定讞
貧困夫妻連生7胎100萬賣掉女嬰 判3年定讞 - 社會 - 自由時報電子報 https://bit.ly/3FhFCSE
2022/01/13 12:40
〔記者張文川/台北報導〕雲林縣一對夫妻連生7個小孩,因家境貧困無力扶養孩子,以100萬元賣掉第6胎女嬰給已婚多年苦無子嗣的65歲林姓男子;二審台南高分院依刑法共同販賣人口罪,將2人各判刑3年,最高法院駁回上訴定讞。
買收女嬰的林男已於2019年過世,檢方處分不起訴。判決指出,被告2人自2008年起一共產下7胎,前4胎子女由阿嬤共同照顧,家中經濟欠佳,靠打零工和低收入戶補助過活,次女先前即已合法交由他人扶養,2015年夫妻產下第5胎男嬰1個多月後,經郭姓友人介紹,將老五送給林男扶養。
夫妻原本無意再生,但因老五發展有點遲緩,林男也想讓他有成長的伴,向夫妻說好「預約」第6胎,妻子遂又至診所取出避孕器繼續「增產」,確定懷孕後,林男即先付訂金30萬元,懷孕期間每月支付2萬元,2017年11月順利產下老6女嬰,林男一次付清50萬元餘款,做完月子再一起去戶政事務所辦理認領,登記林翁為女嬰生父。
一審雲林地檢將2人各判刑5年。二審台南高分院認為,這對夫妻出養小孩與100萬元對價有因果關係,構成販賣人口罪,認為夫妻對家庭維持及子女養育未付出相當心力,為圖自身利益而販賣親生兒女,丈夫有多次毒品等前科紀錄,二審判決時正因毒品罪服刑中,夫妻出賣子女的行為,造成子女生活不穩定與不安全感,但認定出養老五男嬰並無買賣關係,因此改判各3年徒刑。
最高法院認為二審無違誤,駁回上訴確定。2名年幼兒女,現仍由林男妻子繼續妥善扶養
貧困夫妻連生7胎100萬賣掉女嬰 判3年定讞 - 社會 - 自由時報電子報 https://bit.ly/3FhFCSE
把清代艋舺一些慈善組織合併成了仁濟院
仁濟院的救濟事業,最早由清代艋舺地區(包括艋舺但不限)的鄉紳聯合設置,到了日本殖民初期連橫還出不了錢(連橫作為文人,還需要回台南找南社友人斗內,但這不是不好的事,黃土水也由艋舺鄉親支持,所以才有《釋迦出山》等作品)。
連家做仁濟院董事,這個部分還需要開一個歷史偵探事件來研究調查.....(7) 日治時期台灣懷舊照片文獻史料 | 台灣總督府官方機構「台北仁濟院」青瓷皿 | Facebook https://bit.ly/44S0BsY




