美國解密文件 找到…政大抗議信
分享留言列印
A-A+
2017-09-25 00:17聯合報 記者章凱閎/台北報導
旅美台人組團前進美國國家檔案局大規模翻拍台灣相關歷史文件。 圖/國家寶藏計畫團隊...
旅美台人組團前進美國國家檔案局大規模翻拍台灣相關歷史文件。 圖/國家寶藏計畫團隊提供
一群旅美台人在海外展開「國家寶藏」行動,每月組成志工團赴美國國家檔案局、紐約聯合國檔案室,進行長達十小時的「翻拍馬拉松」。團隊迄今已上傳超過一萬六千筆美國對台相關解密文件,供民眾自由參閱。
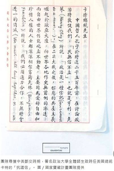
本月中,團隊尋獲一九七八年中美斷交時期,署名政治大學全體師生致當時美國總統卡特的「抗議信」,全文以正楷毛筆字書寫滿滿五大頁。此外,多筆時任美國副國務卿克里斯多福來台訪視的逐字紀錄也隨之出土。
團隊尋獲中美斷交時期,署名政治大學全體師生致時任美國總統卡特的「抗議信」。 圖/...
團隊尋獲中美斷交時期,署名政治大學全體師生致時任美國總統卡特的「抗議信」。 圖/國家寶藏計畫團隊提供
行動發起人之一的旅美工程師蕭新晟說,蒐集陳年史料,在外人眼中是一場尋寶行動,但對他而言也滿足自己的鄉愁。
卅四歲的蕭新晟說,美國政府對機密文件設定卅年保密期限,至今已有超過六千萬分解密文件,存放在美國國家檔案局,其中有諸多台灣相關的史料,「這些都是能讓台灣更認識自己的『國家寶藏』。」
蕭新晟遂與當地文史工作者林育正、紐約州立大學研究助理教授莊士杰等人發起計畫,今年春季,團隊獲選由g0v台灣零時政府發起、聯合報系願景工程資助的首屆公民科技創新獎助金。
獎助金計畫主持人吳銘軒說,國內近年盛行由群眾參與以達成目標的「群眾外包」(crowdsourcing),例如二○一四年的「政治獻金數位化」計畫,藉鄉民力量將監察院的紙本政治獻金文件上傳網路,「一個晚上就建檔數十萬筆資料」。
本月十日「國家寶藏」計畫網站已正式上線,開放全民使用。蕭新晟說,下一階段將拓展志工團隊,號召屆齡退休的美國移民第一代,加入尋寶行列

留言列表